Factor abbcb^2ac ab bc b2 ac a b b c b 2 a c Reorder terms b2 abbcac b 2 a b b c a c Factor out the greatest common factor from each group Tap for more steps Group the first two terms and the last two terms ( b 2 a b) b c a c ( b 2 a b) b c a c Factor out the greatest common factor ( GCF) from each(AB BC CA)/2 C 2BC D 3BC Please scroll down to see the correct answer and solution guide Right Answer is A SOLUTION To construct a triangle, given its perimeter and its two base angles, we first draw a line segment, say XY equal to AB BC CA Related Questions In order to construct a ΔABC in which base AB = 6 cm A ;Với abc là các số thực dương thỏa mãn ab bc ca = 3abc Tìm giá trị nhỏ nhất của P = Câu hỏi và hướng dẫn giải Nhận biết Với a,b,c là các số thực dương thỏa mãn ab bc ca = 3abc Tìm giá trị nhỏ nhất của P = A P min = 3/2 B P min = 7/2 C P min = 7/2 D P min = 3/2 Bạn hãy kéo xuống dưới để xem đáp
Ab Ca2 シモネタ
Expand (ab+bc+ca)^2
Expand (ab+bc+ca)^2-\Rightarrow TEXP \geq a^2b^2c^2\frac{abbcca}{a^2b^2c^2}/TEX Đặt TEXa^2b^2c^2=t (t\geq\frac{(abc)^2}{3}=3) \Rightarrow abbcca=\frac{(abc)^2(a^2b^2c^2)}{2}=\frac{9t}{2}/TEX \Rightarrow TEXP=t\frac{9t}{2t}=(\frac{t}{2}\frac{9}{2t})\frac{t}{2}\frac{1}{2}\geq 2\sqrt{\frac{9}{4}}\frac{3}{2}\frac{1}{2Simplifying ab bc ca = abc Reorder the terms ab ac bc = abc Solving ab ac bc = abc Solving for variable 'a' Move all terms containing a to the left, all other terms to the right Add '1abc' to each side of the equation ab ac 1abc bc = abc 1abc Reorder the terms ab 1abc ac bc = abc 1abc Combine like terms abc 1abc = 0 ab 1abc ac bc = 0 Add '



Find The Product Of A B C A B 2 B C 2 C A 2 Youtube
Given (a b c) = 9 and (ab bc ca) = 26 (a b c)2 = 92 ⇒ a2 b2 c2 2 (ab bc ca) = 81 ⇒ a2 b2 c2 2 (26) = 81 The main thing to remember about the difference between BC and AB is this Calculus BC is a review and continuance of Calculus AB BC can be viewed as an offshoot of Calculus AB since all of the topics in Calculus AB (singlevariable calculus) are also included in Calculus BC, plus some Unlike courses like Algebra I and Algebra II, Calculus AB (Advanced Placement Calculus) and Calculus BCChứng minh abbcca < =a^2b^2c^2 < =2 (abbcca) với a, b, c là 3 cạnh tam giác Hong Van ON ADSENSE /
(a b c)2 = a2 b2 c2 2 (ab bc ca) ⇒ (75)2 = a2 b2 c2 2 (216) ⇒ 5625 = a2 b2 c2 432 ⇒ a2 b2 c2 = 5625 – 432 Q19 The distance between points P and Q is 485 km If a person starts from point P with the speed of 60 km/h and another person is running with a certain speed from point Q and they both meet after 25 hours then find the speed of the person whoBiology (241) Board Exams (195) Class XII Business Studies (579) Class XII Accountancy (22) Class XII Economics (25) Class XII Psychology (12) Class XII Political Science (12) Class XII PhysicalMy Self Study Packages;
0 votes 1 answerIn any ΔABC, prove that 2(bc cos A ca cos B ab cos C) = (a^2 b^2 c^2) asked Jul 28 in Trigonometry by Devakumari (197k points) triangles;To ask Unlimited Maths doubts download Doubtnut from https//googl/9WZjCW If `b^2c^2,ab,ac , ba,c^2a^2,bc , ca,cb,a^2b^2`= a square of a determ



Am Is A Median Of A Triangle Abc Is Ab Ca 2 Am Cbse Class 7 Maths Learn Cbse Forum



If B C 2 C A 2 A B 2 Are In Ap Prove That 1 B C 1 C A Youtube
If ab bc ca= 0 find the value of 1/(a2bc) 1/(b2ca) 1/(c2 ab) Q if x2bxc = (xp)(xq) , then factorize x2 –bxycy2 Q If a b c = 0 ;Putting the given values of a b c and ab bc ca, we get {tex}\Rightarrow{/tex} {tex}{a^2} {b^2} {c^2} = {\left( 9 \right)^2} 2\left( {26} \right){/tex} {tex}\Rightarrow{/tex} {tex}{a^2} {b^2} {c^2} = 81 52 = 29{/tex} 0 Thank You ANSWER Related Questions **** u frndz Report ;In order to construct the bisector of ABC we draw



Algebraic Expression Algebraic Expression The Combination Of Constants



In Figure O Is An Interior Point Of Abc Show That Ab Ca 2 Oa Ob Oc Target Batch
If abc= 5 and abbcca =10, then prove that a3 b3 c3 – 3abc = 25 asked in Class IX Maths by ashu Premium (930 points) polynomials Categories All categories;Simplifying AB BC = AC Solving AB BC = AC Solving for variable 'A' Move all terms containing A to the left, all other terms to the right Add '1AC' to each side of the equation AB 1AC BC = AC 1AC Combine like terms AC 1AC = 0 AB 1AC BC = 0 Add '1BC' to each side of the equation AB 1AC BC 1BC = 0 1BC Combine like terms BC 1BC = 0 AB 1AC 0 =Click here👆to get an answer to your question ️ If a b c = 9 and ab bc ca = 23 , then a^2 b^2 c^2 is equal to Join / Login Question If a b c = 9 and a b b c c a = 2 3, then a 2 b 2 c 2 is equal to A 3 5 B 5 8 C 1 2 7 D None of these Medium Open in App Solution Verified by Toppr Correct option is A 3 5 Formula, (a b c) 2 = a 2 b 2 c 2 2



ユニークab Ca 子供のための最高のぬりえ



Answered In The Accompanying Diagram Pa Is Bartleby
This portion of the Highway 1 Kamloops to Alberta program involves replacing the twolane bridge crossing at Quartz Creek, 40 km west of Golden, with a new fourlane bridge, access improvements to forest service roads and widening 44 km of twolane highway to four lanes Let logx/(a^2abb^2)=log y/(b^2bcc^2)=log z/(c^2caa^2)=k so logx=k(a^2abb^2) log y=k(b^2bcc^2) log z=k(c^2caa^2) Now logx^(ab)* y^(bc)*z^(ca) =(ab0 votes 1 answer asked in Mathematics by Bhavyak (673k points) triangles;



How To Prove Math A 2 B 2 C 2 Ab Ca Math Is Non Negative For All Values Of Math A B Math And Math C Quora



If A B C 12 Ab Ac 47 What Is The Meaning Of A 2 B 2 C 2 Askmath
Ab is a car is a person Ac is persons per car 1 person 1 car = 1 person per car ( 1 P/c) This is why Ab/Ab / = Ac/Ac 1/1 1/1 = 1/1 car person = person/car Now, if lightspeed is a constant one Ab en are the same Each second the distance is the same If light would go faster our slower Ab our would have a different value an0 votes 1 answer If (a – b), (b – c), (c – a) are in GP, then prove that (a b c)^2 = 3(ab bc ca) asked Jul 14 in Geometric Progressions by kavitaKumari (117k points) geometric progressions; Click here 👆 to get an answer to your question ️ abbcca if a bc =15 and a2 b2 c2= 77



Parabola Tangent To Ab Ca De Download Scientific Diagram



Younesmath12maroc S Blog
If a, b, c are in GP, then prove that (a^2 ab b^2)/ (bc ca ab) asked Jul 14 in Geometric Progressions by kavitaKumari (117k points) geometric progressions;Algebra Linear Equations Formulas for Problem Solving 1 Answer P dilip_k abc =căn acăn b căn c=2 chứng minh căn ab căn bc căn ca=1 2 0 Tặng xu Tặng qu à Báo cáo Bình luận TRẢ LỜI NHANH trong 10 PHÚT và Nhận Thưởng Xem Giải Thưởng Quy chế giải bài tập Trả lời Lazi Người trợ giúp bài tập về nhà 24/7 của bạn Hỏi 1 triệu giáo viên và học sinh bất kỳ câu hỏi nào về bài t�



3 Prove The Following 2 I A A A 11 B Chegg Com



A 2 14 Pts The Three Points A 1 0 0 B 0 2 0 Chegg Com
(abc) 2 = a 2 b 2 c 2 2(abbcca) 7 2 = a 2 b 2 c 2 2× 49 = a 2 b 2 c 2 40 49 40 = a 2 b 2 c 2· 9 = a 2 b 2 c 2 Ans 9 Answered by Sneha shidid 8th Feb, 18, 1038 PM Ask Doubt Queries asked on Sunday & after 7pm from Monday to Saturday will be answered after 12pm the next working day Kindly Sign up for a personalised experiencePosted by Prabhnoor Singh Brar 22 hours ago CBSE > Class 09 > Mathematics 1 answers;To construct a ΔABC in which AB BC CA = 8 cm we wil To construct a ΔABC in which AB BC CA = 8 cm, we will first draw a line segment of length A 3 cm B 4 cm C 8 cm D 2 cm Please scroll down to see the



Ex 11 7 Q5 Let Abc Be A Triangle And P Be An Interior Point Prove That Ab Ca 2 Pa



B2 C2 Ab Ca Love Meme
To construct a ΔABC in which AB BC CA = 8 cm we will first draw a line segment of length 3 cm 4 cm 8 cm 2 cm For construction of ΔABC in which AB BC Grade; Given #v= 2(ab bc ca)#, how do you solve for a?If a b c 9 and ab bc ca 23 find the value of a 2 b 2 c 2 Tutorix Referral Program Distribute the referral code to your friends and ask them to register with Tutorix using this referral code



Find The Product Of A B C A B 2 B C 2 C A 2 Youtube



Example Pptx Simplify The Following Expressions 1 A B A C 1 Ab 2 Ab Ab A B 2 A B C 3 Ab Ac 3 A C 4 Abc Ab C A 4 A
(abbcca)² = (ab) ²(bc)²(ca)²2(ab)(bc)2(bc)(ca)2(ca)(ab) hence, (ab)²(bc)²(ca)²2ab²c2abc²2a²bc (ab)²(bc)²(ca)²2abc(bca)Prove that a 2 b 2 c 2 ab bc ca is always non negative for all values of a b and c Tutorix ; a 3 b 3 c 3 − 3abc = (a b c) (a 2 b 2 c 2 − ab − bc − ac) If (a b c) = 0, a 3 b 3 c 3 = 3abc Some not so Common Formulas Power n Formula a n − b n = (a −



Ex 10 2 18 Mcq In Triangle Abc Which Is Not True Ab Ca 0



Ad Is A Median Of The Dabc Is It True That Ab Ca 2ad Give Reason For Your Answer Studyrankersonline
Show that ( a2 / bc ) ( b2/ ca ) ( c2 / ab ) = 3 23 Comments admin 25/9/13 am post your answer/sol Reply Rajib singh 4/8/16 am thanks Reply Loda 9/9/16 pm Fuck u Reply Wakine link 18/9/16 06In fact $27(S_1S_2S_3)^2\geq 64S_2^3$ (which is correct) expands to $$ \frac{27}{64}(ab)^2(bc)^2(ca)^2\geq (abbcca)^3 $$ with exponent $3$ instead of $2$ on the righthand side Then the wanted inequality follows because $$ a^2 ab b^2 = \frac 34 (ab)^2 \frac 14 (ab)^2 \ge \frac 34 (ab)^2 $$(a 3 ba 3 ca 2 bcab 3ab 2 cabc 2ac 3 b 3 cbc 3c 4) • (ab) a 2 • (bc) • (bc) • (ca) a 4 ba 4 c2a 3 bca 3 c 2a 2 b 3a 2 b 2 ca 2 bc 2 ab 4 2ab 3 cab 2 c 2 2abc 3ac 4b 4 cb 2 c 3 bc 4 ——————————————————————————————————————————————————————————



In A Abc Ab Ca 2a And Ad Prove That I Ad A 3 Ii Area Abc 3a Brainly In



Q Tbn And9gctffsuwllegbodlmoc6dmyqyir Djzm7vwtzshzjmf5m3wkeyz1 Usqp Cau
clean all purpose cleaner 52 l ($300 instant savings expires on ) $849 ultra downy fabric softener 4 l 244 washloads ($350 instant savings expires on ) $1349 9 bounce fabric softener pack of 260 ($2 instant savings expires on ) $879 cascade platinum dishwasher detergent 92 tabs ($480 instant savingsIn any triangle ABC, prove that (ABBC)/AC=cot B/2 Thank you for registering One of our academic counsellors will contact you within 1 working day Please check your email for login details Close Click to Chat 91 CART 0 0;A² b² c² = ab bc ca On multiplying both sides by '2', it becomes 2 (a² b² c²) = 2 (ab bc ca) 2a² 2b² 2c² = 2ab 2bc 2ca



Ab Ca2 シモネタ



Find The Value Of Ab Ca 2 Mathematics Stack Exchange
For example, it can be written as a quadratic in d as d^2 2(abc2abc)d a^2 b^2 c^2 4 2(abbcac) = 0 This makes it clear that, for any given values of a,b,c, there are two values of d that satisfy this quadratic We will call these two roots d and d', and we note that d d' = 2(abc2abc) Now suppose we have a solution {a,b,c,d} of this equation in positive integers, Stack Exchange network consists of 178 Q&A communities including Stack Overflow, the largest, most trusted online community for developers to learn, share their knowledge, and build their careers Visit Stack Exchange0 votes 1 answer asked in Mathematics by sforrest072 (128k points) triangles;



Prove That A 2 B 2 C 2 Ab Ca 1 2 A B 2 B C 2 C A 2 Sarthaks Econnect Largest Online Education Community



A B C B2 C2 Ab Ca の式の Clear
Lakhmir Singh and Manjit Kaur ;∵ (a b c)2 = a2 b2 c2 2 (ab bc ca) ⇒ (45)2 = a2 b2 c2 2 × (254) ⇒ 25 = a2 b2 c2 508 ⇒ a2 b2 c2 = 25 Q19 The distance between points P and Q is 485 km If a person starts from point P with the speed of 60 km/h and another person is running with a certain speed from point Q and they both meet after 25 hours then find the speed of the person whoDoubt Ask Your Doubts Subjects All;



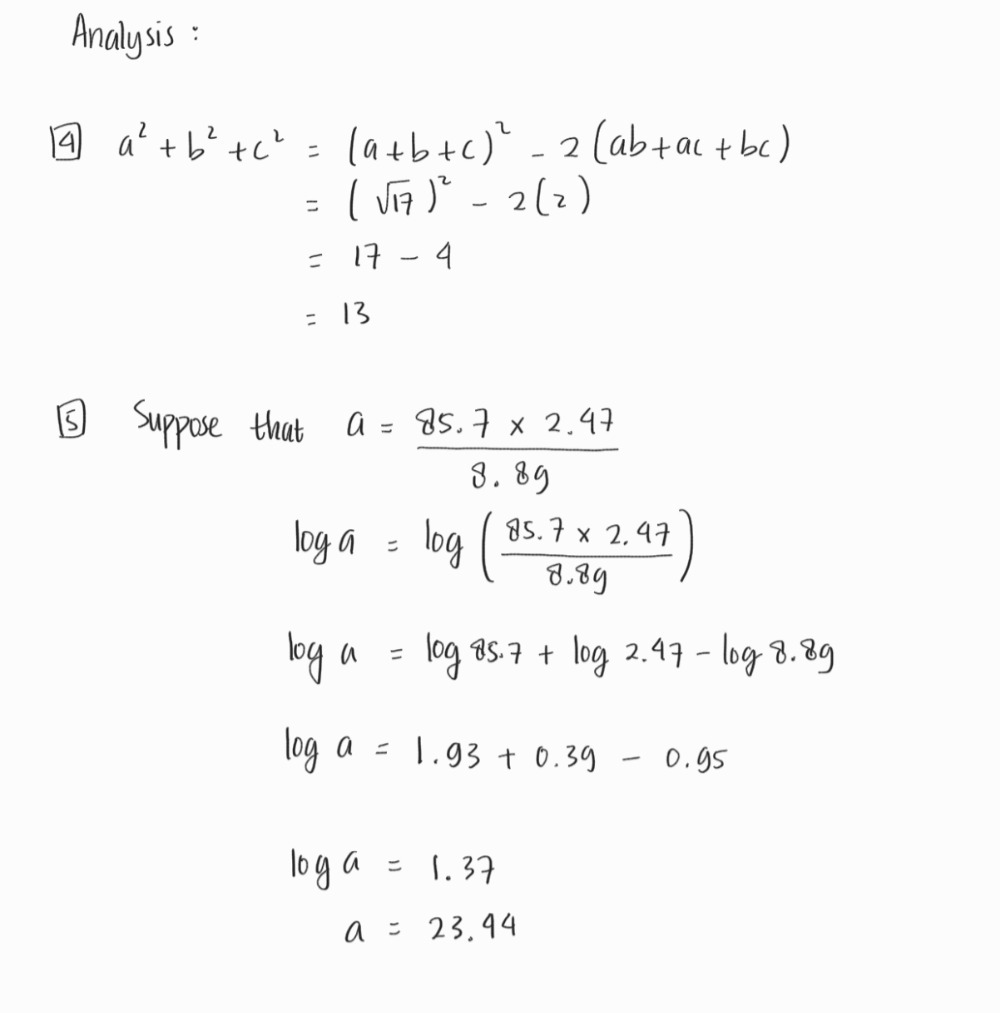
2



Ex 9 1 3 I Add Ab Ca Ca Ab Chapter 9 Class 8



The Determinant B2 Ab B C Ac Ab A B B2 Ab Ac C A Ab Equals Studyrankersonline



If Quadratic Equation Ax 2 Bx Ab Ca A 2 B 2 C 2 0 Youtube



If A 2 B 2 C 2 1 Then Ab Ca Lies In The Interval Youtube



93vcqcm F14asm



Using Properties Of Determinants Prove That B 2 C 2 A 2 Ac Ac C 2 Ac A 2 Ab B 2 Ab Ab Ab Ac 3 Sarthaks Econnect Largest Online Education Community



B2 C2 Ab Ca Love Meme



If B2 C2 280 And Ab Ca 9 2 Find The Value Of A B C 3 Cbse Class 9 Learn Cbse Forum



Show That Oa Ob Oc 1 2 Ab Ca The Triangle And Its Properties Maths Class 7



Unit 02 Part 1 Determinant Matrix R 3 And Then Solving The Determinant We Get X 0 Or X2 A B C Ab Ca2 2 2 B Abc 0 A 2 B C 2abc



Q3 Add The Following I Ab B Lido



Prove That The Determinant Is A B B C C A A 2 B 2 C 2 Mathematics Stack Exchange



Am Is A Median Of A Triangle Abc Is Ab Ca 2 Am Consider The Sides Of Triangles Abm And Amc



1



If Math A B C 0 Math What Is The Value Of Math Frac B C 2 Frac C A 2 Ca Frac A B 2 Ab Math Quora



Inequalities Marathon



Find The Product A B C B2 C2 Ab Ca Without Actual Division Brainly In



Am Is A Median Of A Triangle Abc Is Ab Ca 2 Am Con Scholr



Show That Ab Ca Lies In 1 2 1 If Square A Square B Square C 1 Youtube



Ifa 12 B 11 C 10 Find A 2 B 2 C 2 Ab Caa



Younesmath12maroc S Blog



Find The Product Of A B C A B 2 B C 2 C A 2



4 Ab Show Without Expanding That A A Ab Chegg Com



Factorise B2 C2 2 Ab Ca Mathematics Topperlearning Com Ollyvwb33



A B 2 B C C A B C 2 A B C A C A 2 A B B C Brainly In



Q Tbn And9gctffsuwllegbodlmoc6dmyqyir Djzm7vwtzshzjmf5m3wkeyz1 Usqp Cau



A Square Plus B Square Plus C Square Formula Examples A 2 B 2 C 2 Formula



Ab Ca Does Not Exceed Cc



If A B C 7 And Ab Ca Find The Value Of A 2 B 2 C 2 Polynomials Maths Class 9



Factorisation Of A 2 B 3 C 3 B 2 C 3 A 3 C 2 A 3 B 3 Math Help Boards



Quadratic Equation Session1 Ppt Video Online Download



4 Find The Value Of B2 C2 When A B C Gauthmath



2 In Fig 10 26 A B B C C A 2 A And Segment A D Perp Side B C Show That



ユニークab Ca 子供のための最高のぬりえ



Younesmath12maroc S Blog



Using Properties Of Determinants Show The Following B C 2 Ab Ca Ab A C 2 Ac A B 2 2abc A B C 3 Sarthaks Econnect Largest Online Education Community



Q4 Find The Value Of B2 C2 When A B C Gauthmath



If A 2 B 2 C 2 Ab Ca Le 0 For All A B



The Determinant B2 Ab B C Ac Ab A B B2 Ab Ac C A Ab Equals Studyrankersonline



Sa Median Of A Abc Prove That Ab Ca 2 Ai Ab Math



B Add Up The Expressions 1 A B B C C A 2 Ab Gauthmath



Search Q A B C 5e2 Tbm Isch



If A B C 12 B2 C2 100 Find Ab Ca Brainly In



Am Is A Median Of A Triangle Abc Is Ab Ca 2 Am Cbse Class 7 Maths Learn Cbse Forum



If A B C 8 B2 C2 30 Find The Value Of Ab Ca Maths Polynomials Meritnation Com



0以上 Ab Ca Formula シモネタ



2 In Fig 10 26 A B B C C A 2 A And Segment A D Perp Side B C Show That



Ab Ca2 シモネタ



N3ececqfj1mr2m



If B2 C2 Ab Ca Equal To 0 Then The Value Of A B C Maths Meritnation Com



Ex 6 4 3 Am Is A Median Of A Triangle Abc Is Ab Ca 2 Am



Http Www Edencsd Org Cms Lib Ny Centricity Domain 60 Weekly packet 4 mc and over lapping proofs Pdf



Www Egmo Org Egmos Egmo8 Solutions Day1 Pdf



If B2 C2 Ab Ca 0 Prove That A B C Polynomials Maths Class 9



Example 9 If b2c2 Ab Ca0 See How To Solve It At Qanda



Fo Is A Point Within bc Show That I Ab Ac Ob Oc Ii Scholr



B Add Up The Expressions 1 A B B C C A 2 Ab Gauthmath



Q 3 Am Is A Median Of A Triangle Trustudies



If B C B C C A C A A B A B Are In Ap Then Show That 1 B C 1 C A 1 A B Are In Ap Use Add Ab Ca A 2 B 2 C 2 To Each Term Mathematics Topperlearning Com M2cbrr



Ad Be And Cf Be Medians Of A Triangle Abc Prove That 2 Ad Be Cf Lt 3 Ab Ca Lt 4 Ad Be Cf



Let S A 2 B 2 C 2 Ab Ca A B C Epsilon R Ab Ca 0 Where R Is The Set Of Real Numbers Then S Equals



If Vectors A B And C Are Unit Vectors Satisfying A B 2 B C 2 C A 2 9 Then 2a 5b 5c Is Quora



When Extending The Sides Ab Ca Of Delta Abc To B C A Respectively Such That Ab 2ab Cc 2bc 3ca Mathematics Stack Exchange



How Do You Factor A B C Ab Ca Abc Socratic



If A B C 2 Ab Ca 1 And Abc 1 And Abc 2 Find The Value Of A 3 B 3 C 3



ユニークab Ca 子供のための最高のぬりえ



Inequalities Marathon



If A B C 9 And Ab Ca 26 Find The Value Of A 2 B 2 C 2 Youtube



If A 2 B 2 C 3 Ab Ca Le 0 For All A B



Using Properties Of Determinants Prove The Following A 2 A 2 B C 2 B 2 B 2 C A 2 Ca C 2 C 2 A B 2 Ab Sarthaks Econnect Largest Online Education Community



Sa Median Of A Abc Prove That Ab Ca 2 Ai Ab Math



View Question Please Help



Add The Following I Ab B Ca Ca Ab Ii A B Ab B C A C A Ac Iii 2p 2q 2 3pq 4 5 Youtube



Ex 6 4 3 Am Is A Median Of A Triangle Abc Is Ab Ca 2 Am



If B C 2 C A 2 A B 2 Are In A P Then B C C A A B Are In Edurev Ca Foundation Question



Ab Ca Does Not Exceed Cc



If A B C 9 And Ab Ca 26 Find B2 C2 Studyrankersonline



Find The Value Of A B 2 B C C A B C 2 C A A B C A 2 A B B C Isclass X Brainly In



Q3 Add The Following I Ab B Lido


0 件のコメント:
コメントを投稿